빌베리 플러스

안녕하세요 모두 오늘 하루는 잘 보내고 계신가요?



최근 많은 사람들이 PC나 스마트폰 같은 전자기기를 오랜 시간 사용하다보니 나이와 상관없이 눈 건강을 위협받고 있는 것 같아요. 눈 건강은 한번 잃게 되면 회복이 어렵기 때문에 미리미리 관리를 해주는 것이 좋습니다.
오늘은 눈에 좋은 영양제를 소개해드리려고 하는데요, 바로 프롬바이오 눈건강엔 빌베리 플러스입니다!
눈건강엔 빌베리 플러스


눈건강엔 빌베리 플러스는 배우 김혜수씨가 전속모델로 활동 중인 제품으로 눈의 노화, 피로, 건조 등에 도움을 줄 수 있는 제품입니다. 빌베리 플러스에는 눈에 좋은 성분인 빌베리, 루테인, EPA와 DHA가 식약처 1일 영양성분 기준치 모두 100%를 충족하고 있는데요, 성분의 자세한 효능은 아래에서 자세히 알아보도록 하겠습니다!
빌베리 플러스 성분


빌베리는 2차 세계대전에서 영국 비행기 조종사들이 야간 비행을 위하여 챙겨먹었다고 잘 알려져있는데요, 빌베리에는 안토시아닌이라는 강력한 항산화 성분이 함유되어 있습니다.
우리 망막이나 황반의 색소를 구성하는 성분이 로돕신입니다. 이 로돕신 성분은 체내에서 자체적으로 만들어지지 않는다고 해요. 그렇기 때문에 외부에서 섭취를해주어야 하는 성분 중 하나인데요, 빌베리의 안토시아닌이 로돕신 성분의 재합성을 촉진시키는 역할을 합니다.
기능성 원료인 빌베리 추출물을 4주간 20~60세의 성인 30명을 대상으로 매일 160mg씩 섭취하게 하였더니 눈의 피로가 개선되는 것을 확인할 수 있었습니다.



오메가3의 EPA는 눈 뒤쪽에 위치한 망막세포의 구성 성분인 지방산이고 DHA는 뇌의 신경조직 및 눈의 망각 조직의 중요 구성 성분입니다. 때문에 오메가3를 섭취해주면 눈물층의 유지시간과 눈물 생성량을 늘려주어 건조한 눈을 개선하여 눈 건강에 도움을 줄 수 있습니다.



많은 분들이 오메가3를 섭취하실 때 걱정하는 부분이 중금속인데요, 빌베리 플러스는 엄격한 기준의 인증을 받은 원료를 사용하여서 해양 오염이나 중금속으로부터 안전하다고 해요!



빌베리 플러스에는 루테인의 원료인 마리골드꽃 추출물이 함유되어있어요. 우리가 나이가 들수록 침침해지거나 사물이 흐릿하게 보이는 원인 중 하나는 바로 20세 이후부터 황반의 구성성분인 루테인이 감소하기 때문입니다.
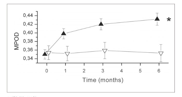
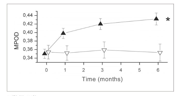
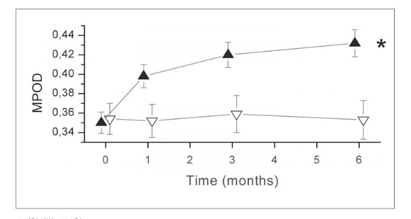
때문에 루테인을 섭취해주면 노화로 인해 감소될 수 있는 황반색소의 밀도를 유지하여 눈 건강에 도움을 줄 수 있습니다. 기능성 원료 마리골드꽃 추출물의 인체적용시험에서 루테인 섭취군의 황반색소 밀도가 더욱 높은 것을 확인할 수 있었습니다.


이런 분들께 추천드립니다.
- 눈이 침침하고 피로하며 건조하신 분
- 건조한 눈, 피로, 노화로 인한 눈 복합 관리가 필요하신 분
- 장기간 컴퓨터, 스마트폰, TV시청을 하시는 분
- 야외 활동이 많아 자외선 노출이 잦으신 분
- 눈 건강을 활력있는 생활을 원하시는 분
- 망막 및 황반성분의 보충으로 건강한 눈의 유지를 원하시는 분
- 야간 운전을 많이 하시는 분
눈건강엔 빌베리 플러스 가격


눈건강엔 빌베리 플러스 가격은 제가 찾아보니까 30정 x 2개 (1달분) 기준으로 44,000원 정도의 가격이 가장 저렴했습니다!
이 글의 작성 시기의 가격과 글을 보시는 시기의 가격이 차이가 날 수도 있기 때문에 직접 한번 더 검색해보시길 추천드립니다.
또한 각 제품이나 판매처마다 한정 세일 또는 특별 할인 쿠폰 등을 발행하는 경우도 있어서 제가 위에서 말한 가격보다 더 저렴할 수 있어요! 인터넷에 올라온 여러 업체의 가격을 꼼꼼히 비교하시고 구매 하시기 바랍니다 :)
섭취 방법



1일 1회, 1회 2캡슐을 충분한 물과 함께 섭취하시면 됩니다.
원재료 및 영양 기능 정보
※특이체질 및 알레르기 반응이 있으신 분들은 아래 성분표 꼭 확인하신 후에 섭취하시길 바랍니다!


부작용 및 섭취 시 주의사항
-특정 질환, 특이 체질, 알레르기 체질, 임산부의 경우에는 간혹 개인에 따라 과민 반응이 나타날 수 있으므로 꼭 원료를 확인하시고 섭취 전에 전문가와 상담하시길 바랍니다.
-과다 섭취 시 일시저으로 피부가 황색으로 변할 수 있습니다.
-임산부는 섭취 전 전문의와 상담이 필요합니다.
-의약품(항응고제,항혈소판제,혈압강하제 등) 복용 시 전문가와 상담하시길 바랍니다.
-개인에 따라 피부 관련 이상 반응이 발생할 수 있어요. 이상 반응이 나타나면 섭취를 중단하시고 전문가와 상담하시길 바랍니다.
함께 읽으시면 좋은 글
안구 건조증 증상, 치료에 좋은 음식
저는 원래도 눈이 좀 건조한 편이었는데 약 4년전에 라식 수술을 하고 난뒤로 안구 건조증이 더욱 심해졌어요. 아침에는 눈이 너무 건조해서 눈을 뜨기가 힘들었고 컴퓨터를 2시간 이상만 해도
lhyukk.co.kr
삼성제약 눈헬스케어 가격
삼성제약 눈헬스케어 안녕하세요 건강알리미입니다. 오늘은 눈 건강에 대한 정보를 적어보려고 합니다 :) 인체에서 가장 빨리 늙는 기관은 바로 눈이라는 것 아시나요? 눈은 외부의 사물을 각막
lhyukk.co.kr
오늘 빌베리 플러스에 관한 정보를 적어보았어요! 복용 시 주의사항 잘 지켜가면서 복용하시길 바랍니다.
궁금한 점 있으시면 아래 댓글로 남겨주세요. 감사합니다 :)
댓글